April 7th, 2026 at 3:50:46 AM
permalink

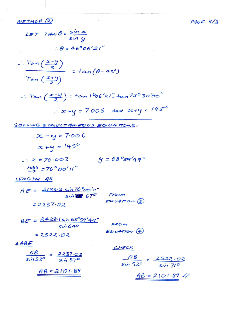
Find the length AB...
Last edited by: davethebuilder on Apr 7, 2026
Casino Enemy No.1
April 7th, 2026 at 4:13:22 AM
permalink
Nothing like reminding me that a class I Aced is completely foreign to me now.
April 7th, 2026 at 4:46:44 AM
permalink
Easy...

Dog Hand

Dog Hand
April 7th, 2026 at 9:58:26 AM
permalink
This one was driving me crazy, as I kept getting negative numbers, until I realized that my spreadsheet uses radians for its trig functions
C + Ea = 113
D + Eb = 116
Ea + Eb = 84
C + D + Ea + Eb = 229 = C + D + 84
C + D = 145
AE / sin C = 2122.2 / sin 67
BE / sin D = 2428.1 / sin 64
AE / sin 57 = BE / sin 71
AE sin 71 = BE sin 57
sin C (2122.7 / sin 67) sin 71 = sin D (2428.1 / sin 64) sin 57
(2122.7 / sin 67) sin 71 sin C = (2428.1 / sin 64) sin 57 sin (145 - C)
(2122.7 / sin 67) sin 71 sin C = (2428.1 / sin 64) sin 57 sin (35 + C)
(2122.7 sin 71 sin 64) sin C = (2428.1 sin 57 sin 67) sin (35 + C)
(2122.7 sin 71 sin 64) sin C = (2428.1 sin 57 sin 67) sin 35 cos C + (2428.1 sin 57 sin 67) cos 35 sin C
(2122.7 sin 71 sin 64) sin C - (2428.1 sin 57 sin 67 cos 35) sin C = (2428.1 sin 57 sin 67 sin 35) cos C
(2122.7 sin 71 sin 64 - 2428.1 sin 57 sin 67 cos 35)^2 sin^2 C = (2428.1 sin 57 sin 67 sin 35)^2 (1 - sin^2 C)
((2122.7 sin 71 sin 64 - 2428.1 sin 57 sin 67 cos 35)^2 + (2428.1 sin 57 sin 67 sin 35)^2) sin^2 C = (2428.1 sin 57 sin 67 sin 35)^2
sin^2 C = (2428.1 sin 57 sin 67 sin 35)^2 / ((2122.7 sin 71 sin 64 - 2428.1 sin 57 sin 67 cos 35)^2 + (2428.1 sin 57 sin 67 sin 35)^2)
AB / sin 52 = AE / sin 57
AB = AE sin 52 / sin 57
AB = (2122.2 sin 52) / (sin 67 sin 57) sin C
AB = (2122.2 sin 52) (2428.1 sin 57 sin 67 sin 35) / (sin 67 sin 57 sqrt((2122.7 sin 71 sin 64 - 2428.1 sin 57 sin 67 cos 35)^2 + (2428.1 sin 57 sin 67 sin 35)^2))
AB = (2122.2 sin 52) (2428.1 sin 35) / sqrt((2122.7 sin 71 sin 64 - 2428.1 sin 57 sin 67 cos 35)^2 + (2428.1 sin 57 sin 67 sin 35)^2)
= 4692.14625
C + Ea = 113
D + Eb = 116
Ea + Eb = 84
C + D + Ea + Eb = 229 = C + D + 84
C + D = 145
AE / sin C = 2122.2 / sin 67
BE / sin D = 2428.1 / sin 64
AE / sin 57 = BE / sin 71
AE sin 71 = BE sin 57
sin C (2122.7 / sin 67) sin 71 = sin D (2428.1 / sin 64) sin 57
(2122.7 / sin 67) sin 71 sin C = (2428.1 / sin 64) sin 57 sin (145 - C)
(2122.7 / sin 67) sin 71 sin C = (2428.1 / sin 64) sin 57 sin (35 + C)
(2122.7 sin 71 sin 64) sin C = (2428.1 sin 57 sin 67) sin (35 + C)
(2122.7 sin 71 sin 64) sin C = (2428.1 sin 57 sin 67) sin 35 cos C + (2428.1 sin 57 sin 67) cos 35 sin C
(2122.7 sin 71 sin 64) sin C - (2428.1 sin 57 sin 67 cos 35) sin C = (2428.1 sin 57 sin 67 sin 35) cos C
(2122.7 sin 71 sin 64 - 2428.1 sin 57 sin 67 cos 35)^2 sin^2 C = (2428.1 sin 57 sin 67 sin 35)^2 (1 - sin^2 C)
((2122.7 sin 71 sin 64 - 2428.1 sin 57 sin 67 cos 35)^2 + (2428.1 sin 57 sin 67 sin 35)^2) sin^2 C = (2428.1 sin 57 sin 67 sin 35)^2
sin^2 C = (2428.1 sin 57 sin 67 sin 35)^2 / ((2122.7 sin 71 sin 64 - 2428.1 sin 57 sin 67 cos 35)^2 + (2428.1 sin 57 sin 67 sin 35)^2)
AB / sin 52 = AE / sin 57
AB = AE sin 52 / sin 57
AB = (2122.2 sin 52) / (sin 67 sin 57) sin C
AB = (2122.2 sin 52) (2428.1 sin 57 sin 67 sin 35) / (sin 67 sin 57 sqrt((2122.7 sin 71 sin 64 - 2428.1 sin 57 sin 67 cos 35)^2 + (2428.1 sin 57 sin 67 sin 35)^2))
AB = (2122.2 sin 52) (2428.1 sin 35) / sqrt((2122.7 sin 71 sin 64 - 2428.1 sin 57 sin 67 cos 35)^2 + (2428.1 sin 57 sin 67 sin 35)^2)
= 4692.14625
April 7th, 2026 at 1:49:49 PM
permalink
Disagree
Casino Enemy No.1
April 8th, 2026 at 7:55:58 AM
permalink
Quote: davethebuilderDisagree
link to original post
Actually, the non-reduced answer is correct; however, when I tried plugging it into my spreadsheet, I multiplied the trig function arguments by 180 / PI instead of PI / 180.
When I include the correct values, the actual numeric result is:
2021.8951
April 8th, 2026 at 8:08:25 AM
permalink
Quote: ThatDonGuyQuote: davethebuilderDisagree
link to original post
Actually, the non-reduced answer is correct; however, when I tried plugging it into my spreadsheet, I multiplied the trig function arguments by 180 / PI instead of PI / 180.
When I include the correct values, the actual numeric result is:2021.8951
link to original post
Disagree, but your much closer.
A few suggestions:
Use algebra, trigonometry and simultaneous equations, not a spreadsheet.
Since there is so much trig involved, leave the data in your calculator to eight or more decimal places.
Try and arrange the data in the form of sinC/sinD and use various trigonometric formulas to define C - D and C + D. Solve the resultant simultaneous equations and then use the Sine Rule to calculate AB.
For extra credit and a case of beer solve the problem using two methods that act as a check against each other.
Last edited by: davethebuilder on Apr 8, 2026
Casino Enemy No.1
April 8th, 2026 at 12:44:52 PM
permalink
Quote: davethebuilderA few suggestions:
Use algebra, trigonometry and simultaneous equations, not a spreadsheet.
link to original post
The only time I used a spreadsheet is to calculate the final result as a numeric value rather than one with 10 sines (well, 9 sines and a cosine).
I also did calculate it twice, and came up with the same answer both times.
I'll wait to see your solution so I can figure out where I went wrong.
April 8th, 2026 at 4:22:27 PM
permalink
Something is going on with LibreCalc. When I calculate the equation with 9 sines and a cosine on two different calculators, I now get
2101.8951
Oh, that's 2122.2, not 2122.7...
Oh, that's 2122.2, not 2122.7...
April 8th, 2026 at 9:05:40 PM
permalink
Quote: ThatDonGuySomething is going on with LibreCalc. When I calculate the equation with 9 sines and a cosine on two different calculators, I now get
2101.8951
Oh, that's 2122.2, not 2122.7...
link to original post
Correct, well done.



Casino Enemy No.1
April 9th, 2026 at 6:38:03 AM
permalink
Our methods are the same up to:
sin x / sin y = (2428.1 sin 67 sin 57 / (2122.7 sin 64 sin 71)
Here's where my method differs:
Substitute (145 - x) for y:
(2122.7 sin 64 sin 71) sin x = (2428.1 sin 57 sin 67) sin (145 - x)
Since sin t = sin (180 - t), sin (145 - x) = sin (180 - (145 - x)) = sin (35 + x):
(2122.7 sin 64 sin 71) sin x = (2428.1 sin 57 sin 67) sin (35 + x)
Sine of a sum rule:
(2122.7 sin 71 sin 64) sin x = (2428.1 sin 57 sin 67) sin 35 cos x + (2428.1 sin 57 sin 67) cos 35 sin x
(2122.7 sin 71 sin 64) sin x - (2428.1 sin 57 sin 67 cos 35) sin x = (2428.1 sin 57 sin 67 sin 35) cos x
Square both sides:
(2122.7 sin 71 sin 64 - 2428.1 sin 57 sin 67 cos 35)^2 sin^2 x = (2428.1 sin 57 sin 67 sin 35)^2 (1 - sin^2 x)
((2122.7 sin 71 sin 64 - 2428.1 sin 57 sin 67 cos 35)^2 + (2428.1 sin 57 sin 67 sin 35)^2) sin^2 x = (2428.1 sin 57 sin 67 sin 35)^2
sin^2 x = (2428.1 sin 57 sin 67 sin 35)^2 / ((2122.7 sin 71 sin 64 - 2428.1 sin 57 sin 67 cos 35)^2 + (2428.1 sin 57 sin 67 sin 35)^2)
sin x = 2428.1 sin 57 sin 67 sin 35 / sqrt((2122.7 sin 71 sin 64 - 2428.1 sin 57 sin 67 cos 35)^2 + (2428.1 sin 57 sin 67 sin 35)^2)
Law of sines on AEB:
AB / sin 52 = AE / sin 57
AB = AE sin 52 / sin 57
AB = (2122.2 sin 52) / (sin 67 sin 57) sin x
AB = (2122.2 sin 52) (2428.1 sin 35) / sqrt((2122.7 sin 71 sin 64 - 2428.1 sin 57 sin 67 cos 35)^2 + (2428.1 sin 57 sin 67 sin 35)^2)

